前两天心念一动,奇点糕又把当年春晚上经典的语言类节目翻了出来,边看边笑边回忆……不过有一句话,却是奇点糕打死都不认同的,“没心没肺的人睡眠质量都高。”沾枕头就着,怎么等于睡眠质量高了?爸妈你们有误会啊!
快节奏的时代,平时睡不够睡不着,有空就想睡个天昏地暗,恐怕是很多人的生活常态吧,就更不说午夜党通宵狂和深度赖床患者了。有几个人,能真的做到权威推荐的每天至少睡上7小时[1]呢?

缺觉让我变得……呃,扭曲?
不过,睡太多真不是什么好事。最近在著名的《欧洲心脏杂志》上,一项多国开展,涉及11万受试者的大规模队列研究结果显示:每天睡眠超过9小时,与普通人的死亡风险和严重心血管疾病发病风险显著增加有关!
而这项研究的第二个结论,更是绝对改写了很多人的认知:对于每天夜间睡眠超过6小时的人群,白天小睡也同样与风险增加有关!看完论文的奇点糕,已经决定把午睡戒掉,改成去顶着寒风散步了……

ZZZ…你说啥,听不见…
睡不够对身体不好,这肯定没得说,哈欠连天的滋味谁没经历过呢?从心血管疾病的角度来说,睡眠不足也是不能忽视的危险因素,因为人体的正常代谢会被严重扰乱,肥胖和糖尿病先上门,后面就是冠心病和中风跟来了。
但是睡多了会对健康有什么影响呢?有科学家说睡多了不好,有科学家说没啥影响,就算拿出Meta分析之类的神器也拍不了板……而且,这些研究往往没包括中东、南美和中国这些午睡成风的地方,结论还真不一定可靠。

中午的办公室,睡相真是众生百态……
想要把模糊的事情说清楚,要么做出非常精确的评价,比如给参与研究的受试者们都配上多导睡眠监测仪;或者用大型的队列研究,靠大数据尽量淡化各种影响因素的干扰,得出靠谱的结论。
于是,几个月前在“奶不能停”里亮相的城镇与乡村流行病学前瞻研究(PURE),又被拿出来了,这项在全球21个国家开展,在我国由阜外医院主持的研究,也为研究睡眠状况对健康的影响提供了宝贵的资料。
受试者们会在参与研究时的调查问卷中回答自己平时的睡眠时长,入睡和起床的时间,是否有小睡习惯三个问题。在排除了曾有癌症、心血管疾病等病史等情况的受试者后,共有11.6万名受试者被列入分析。

西班牙语中,有个专门的词Siesta就是午后小睡,过去因为天气炎热,西班牙、南欧和很多拉美国家都有吃完午饭就睡的习惯……
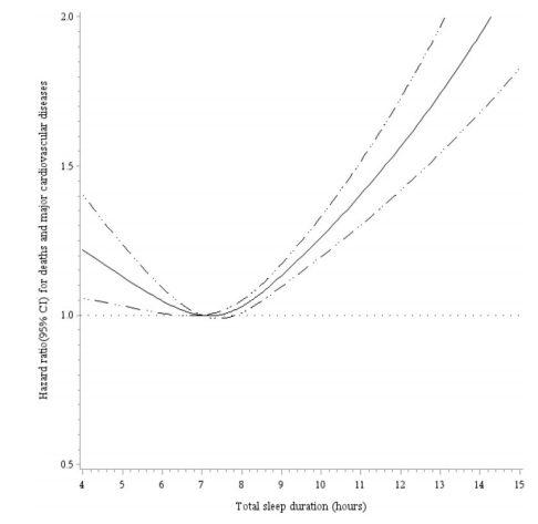
与此前的研究类似,本次分析的主要重点仍然是包括全因死亡率、心血管死亡率、中风、心肌梗死和心衰在内的综合指标,在平均达到7.8年的随访后,共有7342名受试者出现了主要重点事件。
简而言之,关于一天之中总的睡眠时间与死亡风险的关系,就是一个不那么规则的U型——与6-8小时的推荐时间相比,睡得少虽然也与增加风险有关,但并不如睡得多明显,尤其是当睡眠时间超过9小时后,风险会开始快速上升!

睡多了比睡少了的影响还大,是不是有点儿改写认知……
具体来看,每天睡不到6小时,与全因死亡和心血管发病风险增加9%有关,这与此前在上海开展的一项10万人研究类似;但睡9-10小时,这个数字就会增加到17%,超过10小时,就更是飙升到41%,总是睡太多看来真不好。
而是否需要白天小睡,就要看夜间睡眠够不够了。如果晚上睡不到6小时,那么白天小睡多一点,确实能弥补晚上少睡带来的影响;但如果晚上已经睡得够多,那么白天小睡却反而与增加风险有关!

增加26%的风险也不是说着玩儿的……
对于睡太多不好的原因,研究团队认为,过长的睡眠时间可能意味着潜在的疾病或者危险因素,因此建议医生在临床问诊中,要详细询问患者的睡眠情况,而对于普通人?PURE试验主持者Salim Yusuf说了,“可能得去看医生啦”。
而在《欧洲心脏杂志》的配发社论中,澳大利亚科学家们引用了古希腊诗人荷马的话:“即使是睡觉,睡太多也是坏事。(Even where sleep is concerned, too much is a bad thing.)”
不过科学家们也表示,就算出现了睡太多的不良模式,是否应该采取措施调节睡眠,也还需要进一步研究的探索。所以各位也不一定要着急戒掉午睡什么的,早睡早起身体好,不就行了嘛。